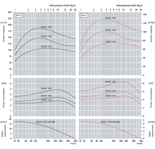
Airtech/Speck Liquid Ring Vacuum Pumps are ideal for various applications that require continuous and quiet operation, compact design, and reduced power consumption. The two stage, variable discharge port design provides efficient operation from 10 through 1,000 cfm for vacuum levels up to 29″ Hg. The impeller’s unique design of slower spinning curved blades reduces tip speed, enhancing the life expectancy of the pump.