Model Features
- Cooler running, outboard bearing provides maintenance-free operation
- Environmentally friendly oil-free technology
- Extremely quiet operation
- All motors are standard TEFC with Class F insulation, UL recognized, CE Compliant
- Explosion-Proof motors available
- Custom construction blowers are available
- Rugged die cast aluminum construction
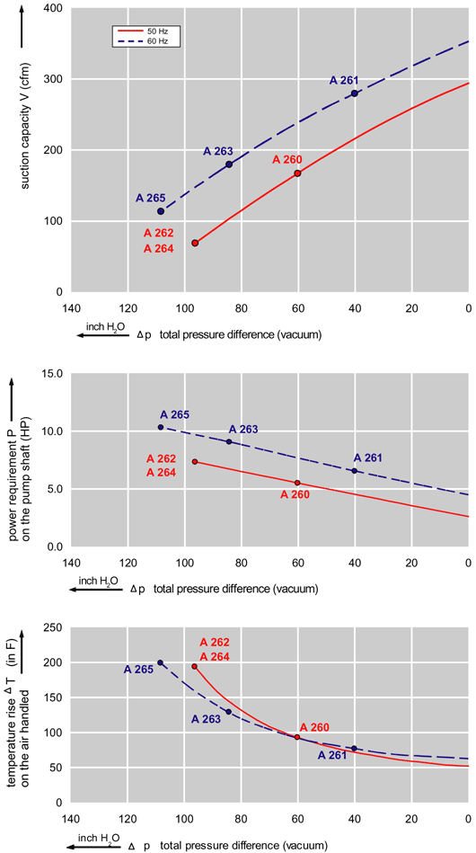
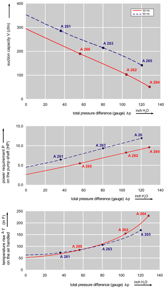
Selection & Ordering Data - Type 3BA1640
Curve
|
Order No. |
Hz | HP |
Input
|
Input
|
Permissible total differential pressure2 |
Sound pressure level3 |
Weight (lbs.) |
|||
Vacuum inch H2O |
Compressor
|
dB(A) |
|||||||||
| 3~ 50/60 Hz IP55 insulation material class F | |||||||||||
| A 260 | 3BA1640-7AT36 | 50 | 5.36 | 200D… 240D | 345Y…415Y | 13D | 7.5Y | -60 | 56 | 74 | 117 |
| A 261 | 3BA1640-7AT36 | 60 | 6.16 | 220D… 250D | 415Y…460Y | 15.2D | 8.5Y | -40 | 36 | 78 | 117 |
| A 262 | 3BA1640-7AT46 | 50 | 7.37 | 200D… 240D | 345Y…415Y | 23D | 13.3Y | -96 | 104 | 74 | 161 |
| A 263 | 3BA1640-7AT46 | 60 | 8.44 | 220D… 250D | 415Y…460Y | 20D | 11.2Y | -84 | 80 | 78 | 161 |
| A 264 | 3BA1640-7AT56 | 50 | 10.05 | 200D… 240D | 345Y…415Y | 29D | 16.7Y | -96 | 128 | 74 | 189 |
| A 265 | 3BA1640-7AT56 | 60 | 11.52 | 220D… 250D | 415Y…460Y | 27.5D | 15Y | -108 | 120 | 78 | 189 |
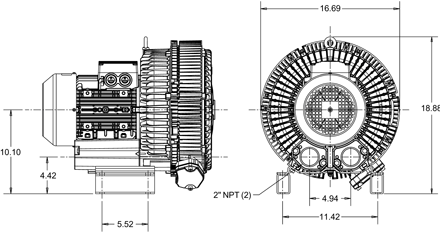
Dimensions
Relief valve:
VC61Z (Vacuum)
PC61Z (Pressure)
Filter:
ATF-200-15124/1
(Vacuum)
AFS-30-200-10
(Pressure)



